Математика на Решебник.Ру. Минорский, Берман, Демидович
:: Главная страница | Решение задач: высшая математика, эконометрика, физика ::
Навигация

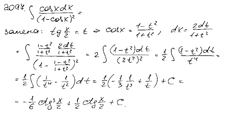
Математика на Решебник.Ру / Берман Г.Н. Задача 2097

Берман Г.Н. Задача 2097

В задачах 2090 — 2131 найти интегралы.

6,43 Kb



:: Рекомендуемая литература. Посетите интернет-магазины: Озон, Болеро

VIP Казань — Казань для достойных людей





:: Статистика


математика

Обмен электронных
валют онлайн

ONLINECHANGE

Проверить аттестат доверия
Яндекс цитирования

поставьте нашу кнопочку
у себя на сайте =)

 
Задачники: Кузнецов Л.А., Чудесенко В.Ф., Рябушко А.П.
:: Copyright © Решебник.Ru. :: Сделано в Казани
Официальные зеркала Решебник.Ру: reshebnik.org.ru reshkuz.org.ru используйте их, если основной сайт недоступен